
You might want to argue that the question in the subtitle is based on a false premise; the p-value is related to the probability of falsely rejecting the null hypothesis conditional on the level () and the null hypothesis being true. The question of whether the null-model valid or not is only assessed from this viewpoint and we certainly cannot assign a probability it.
However in Bayesian statistics such a question is perfectly valid. The theory of Bayesian robustness examines how sensitive a Bayesian inference is to the choice of prior. Thereby addressing one of the main criticisms of Bayesian statistics. In a seminal paper, James O. Berger and Thomas Sellke consider a single realization (the results still holds for multiple realizations) of a normal variable with known variance:
and a test for the hypothesis
against the alternative
Let’s also phrase a Bayesian model; we give each of the two models an equal prior probability We also need a prior for under , . Berger and Sellke shows that if corresponding to a p-value less than 0.32, the prior favoring the most within the class of symmetric unimodal distributions is a uniform distribution,
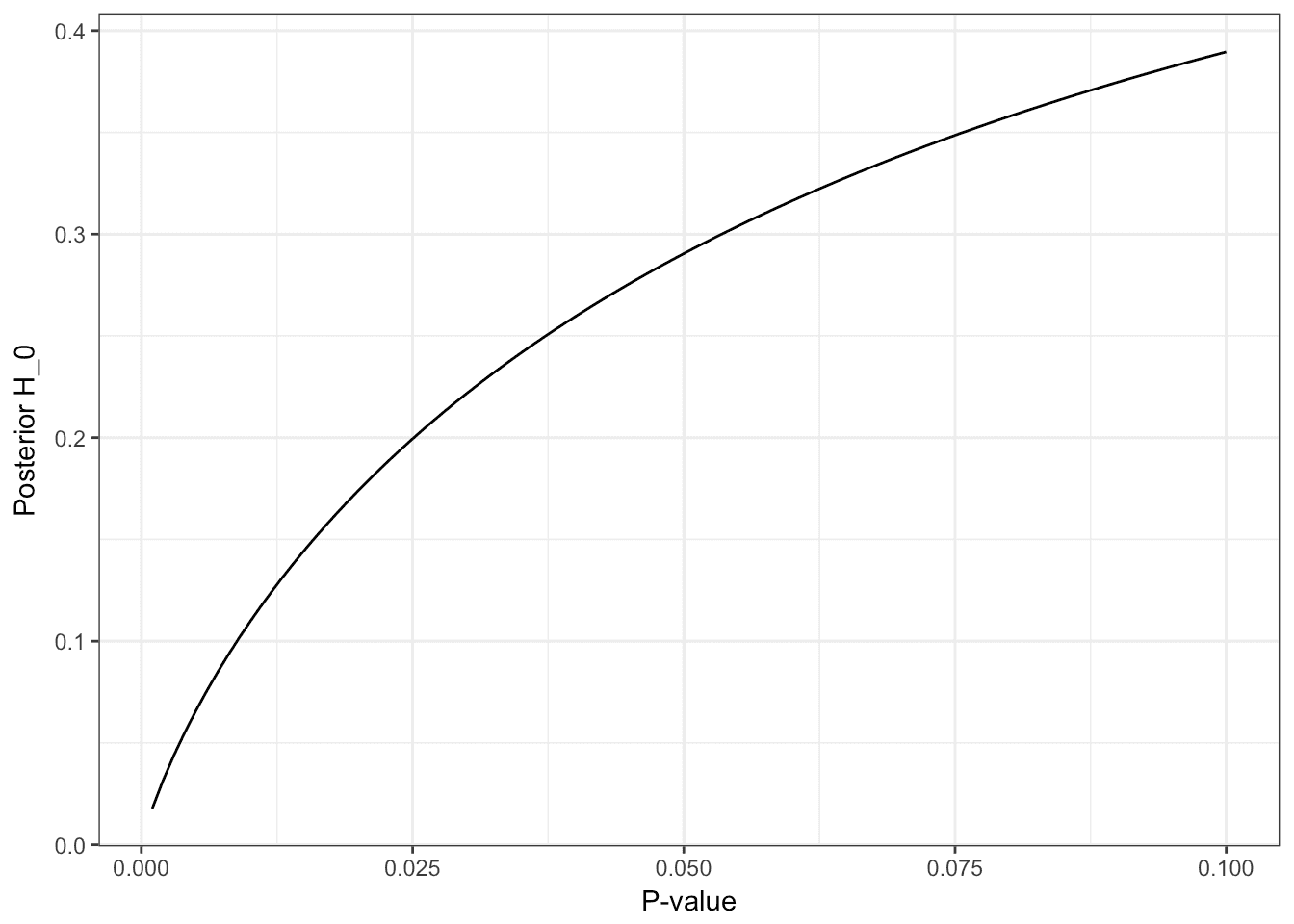
We find the that maximizes the posterior probability of the alternative for different values of and their corresponding posterior probabilities and p-values.
| P-value | Posterior of H0 |
|---|---|
| 0.100 | 0.3895459 |
| 0.050 | 0.2904357 |
| 0.010 | 0.1094489 |
| 0.001 | 0.0177166 |
This answers our question: With the prior that favors the alternative the most the posterior probability that the null hypothesis is true for a p-value of 0.045 is still 0.28. Not exactly overwhelming evidence for the alternative.
Below we have plotted the posterior probability for against the p-value for the prior that favors the alternative the most.